ISSN: 2644-1306

Irikefe Paul OBIEBI*
Received: April 02,2018; Published: April 16,2018
*Corresponding author: Irikefe Paul Obiebi, Delta State University Teaching Hospital, Otefe Road, Off Warri-Benin Express Way, PMB 07,0ghara, Delta State, Nigeria
DOI: 10.32474/TRSD.2018.01.000104
Background: Documented evidence confirms that inhalation of toxic substances emitted during charcoal production is associated with lung function deficits and respiratory symptoms nonetheless; other factors could also give rise to the similar respiratory disorders or problems. This study was designed to ascertain the influence other impinging factors wield on the respiratory symptoms and lung function deficits among workers at wood-burning earth kilns.
Methodology: This was a cross-sectional analytic study conducted among workers exposed to wood smoke from wood-burning earth kilns in Southern Nigeria. A comprehensive sampling of all workers who willing consented to participate in this study was done since the workers were few. A modified Medical Research Council Questionnaire as well as a portable spirometer was the study instrument. Data analyzed with SPSS version 22. Association for categorical data was tested with chi-square while Student's t test was applied to estimate the difference between means. Significance level was pre-determined by a p value less than 0.05.
Results: The modal age group was 40-49 years (28.4%), about half (48%) of the respondents were burners and less than two- fifth (38.5%) were domestic biomass users. All indices were worse among workers with a history of asthma (p <0.05) where same indices but PEFR were higher among workers with a history of moulding blocks (p<0.05). However, for the three workers who cooked in their rooms only their mean FVC and FEV1/FVC were significantly higher than others. The association of duration of work with the prevalence respiratory symptoms was not significant (p > 0.05). Wood setters had the highest prevalence of chronic cough, wheeze, breathlessness and chest tightness, whereas the association of job description and prevalence of symptoms was not significant (p > 0.05).
Conclusion: History of asthma significantly and negatively impinged on lung function deficit among these workers. Duration of job amongst other factors did not influence the prevalence of respiratory symptoms. Pre-employment screening of workers for respiratory disorders may be a worthwhile venture to pursue in the long term.
Biomass remains one of the most primeval sources of energy however there is uncertainty about sustaining its viability, particularly as rural-urban development trailing deforestation is becoming popularin developing countries [1]. This apparent developmental activity thrives on commercialization of forest wood reserves as it provides substantial financial proceeds for rural residents, without an immediate evaluation of the negative environmental impact that would invariably jeopardize their continued subsistence [2,3].This perceived threat to availability of wood fuel has lent itself to exploration for renewable energy such as solar and wind. Nevertheless, in sub-Saharan Africa the technical proficiency for harnessing such inexhaustible energy supplies is grossly undeveloped owing mainly to poverty therefore, biomass is vastly relied [4]. With a step-wise demand for energy sources in urban locales; firewood as the first step, all the way through charcoal, fossil fuel, and to electrical energy ranking the least demanded for among the poor [2]. Firewood is more popular among rural populations and charcoal, due to its virtual weightlessness and smokeless characteristics, tends to be available in metropolitan zones for those who cannot sustainably afford fossil fuel or electricity [5,6].
Charcoal is the manufactured goods that ensue when wood is subjected to high temperature and pressure especially in an air-tight enclosure [7]. The technological methods for making charcoal are diverse with varying costs, levels of required expertise and burning efficiency. Nonetheless, most charcoal production in southern Nigeria as in some other parts of Africa occurs in earth kilns. This device not only has the drawback of low combustion efficiency but also it is fraught with giving off wood smoke [8], a substance with recognized toxicity in the respiratory and other systems of the body [9,10]. Making charcoal with devices such as retort and mekkokilns which condense effluent gases can substantially augment energy recovery and make the environment safer as almost all toxic substances are consumed [7-11] Similar technologies have been operated in Ghana and Costa Rica and might considerably advance charcoal manufacture if utilized in our setting. Nonetheless, their use has high cost implications and is implausible to be effected by the charcoal producers in Nigeria. Documented evidence confirms that inhalation of toxic substances emitted during charcoal production is associated with lung function deficits and the emergence of respiratory symptoms nonetheless [12-14]; other factors such as exposure to wood dust, could also give rise to similar respiratory disorders or problems [15].
Work-related pulmonary diseases (occupational asthma, occupational rhinitis, chronic obstructive airway disease etc.) constitute the highest cause of work-related illnesses in the United States of America [16]. The burden is enormous and exerts a huge toll on government and individuals. The annual spending on asthma in the United States of America is over $17 billion. This includes indirect costs from loss of productive work days due to disease and death [17]. In Africa, asthma has been estimated to affect over 10% of the population, and work-related asthma accounts for about a quarter of all cases of adult asthma [18,19]. A report from Nigeria, valued the annual cost of follow-up for one asthmatic patient to be about $368.4.19 Lung function abnormalities and respiratory symptoms could be accentuated in workers at earth kiln sites who already have respiratory disorders. Thus, this study was designed to ascertain the influence other impinging factors such as domestic biomass, smoking, exposure to other air pollutants, indoor cooking, duration of work could exert on the occurrence of respiratory symptoms and lung function deficits among workers at wood-burning earth kilns. Outcomes of this study could provide a scientific basis for adjudicating apposite recommendations to forestalla deterioration of the respiratory health of workers already involved in occupations with a potential risk of respiratory dysfunction.
This was a cross-sectional analytic study conducted among workers exposed to wood smoke from wood-burning earth kilns in Southern Nigeria. A comprehensive sampling of all workers who willing consented to participate in this study was done since the workers were few.
Ethical approval was given by the Health Research Ethics committee of Delta state University Teaching. Workers' participation in this study was absolutely on volunteer basis, as none of them was coerced; and informed consent was given by each participant before being included in the study.
A modified Medical Research Council (MRC) Questionnaire was applied to obtain information from workers about their respiratory symptoms and previous respiratory disorders, job description, duration of work, previous jobs and exposure to air pollutants [20]. A hand-held lung function measuring device manufactured by Micro Medical, Ltd., Kent, UK was employed in conformity with the American Thoracic Society and European Respiratory Society Joint Task Force Guidelines on Spirometry to measure lung function indices [21]. Workers were given a pep talk about the aim of spirometry and spirometric manoeuvres; the latter was demonstrated to them following which they had to be encouraged to exercise repeated trial manoeuvres. A satisfactory performance was taken to be one with a forceful and persistent expiration lasting a minimum of 6 seconds following an in-depth inspiration [21]. With three attempts the best reading recorded was recorded as an acceptable value.
All collected data was synthesized before entry into SPSS version 22 for analysis. Categorical data was expressed in percentages and association tested with chi-square while continuous variable was displayed as means (with standard deviation) and Student’s t test was applied to estimate the difference between means. Significance level was pre-determined by a p value less than 0.05.
Table 1: Socio-Demographic Characteristics.

The modal age group was 40-49 years (28.4%), about half(48%) of the respondents were burners and less than two-fifth (38.5%) were domestic biomass users (Table 1). The mean FEV1of charcoal workers who cook in the room was 2.81 ± 0.34L, while that in those who do not cook in the room was 2.00±0.82L. The difference was significant (p = 0.039). The mean FEV1of charcoal workers with a history of asthma were 1.67±0.00L while that among those without a history of asthma was 2.00±0.82. The difference was significant (p<0.001). The mean FEV1of charcoal workers who had worked at a block industry were 2.58 ± 0.33L while in those who have not it was 1.97±0.83L. The difference was significant (p = 0.004).From the result the potential confounder that adversely affected FEV1 -was a history of asthma (Table 2). The mean FVC of charcoal workers who had worked at a block industry was 2.79±0.22L while in those who have not it was 2.37±0.95L. The difference was significant (p =0.003).FVC was not affected adversely by any potential confounder (Table 3).
Table 2: Charcoal workers' FEV1 (L) and Potential Confounders.

Table 3: Charcoal workers' FVC and Potential Confounders.

The mean FEV1/FVC ratio of charcoal workers who cook in the room was 89.00±1.73, while that in those who do not cook in the room was 83.13±12.04. The difference was significant (p=0.03). The mean FEV1/FVC ratio of charcoal workers with a history of asthma was 69.0±0.00 while that among those without a history of asthma was 83.69±11.55. The difference was significant (p<0.001). The mean FEV1/FVC of charcoal workers who had worked at a block industry was 89.00±1.54 while in those who have not it was 83.08±12.15. The difference was highly significant (p<0.001). The results show that a history of asthma negatively affected FEV1/FVC (Table 4). The mean PEFR of charcoal workers with a history of asthma was 196.00 ± 0.00L/min while that among those without a history of asthma was 237.17±98.65L/min. The difference was significant (p<0.001).This shows that a history of asthma reduces PEFR (Table 5).
Table 4: Charcoal workers' FEV1/FVC ratio and Potential Confounders.

Table 5: Charcoal workers’ PEFR and Potential Confounders.

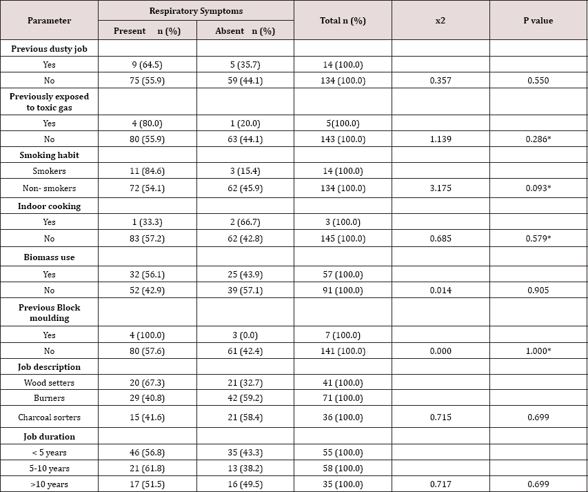
A higher 6 (42.9%) proportion of charcoal workers who had worked for 5-10 years had cough compared to 4 (28.6%) who had worked for less than 5 years. This difference was not statistically significant (p = 0.094). The association of duration of work with the prevalence respiratory symptoms was not significant (p > 0.05) (Table 6). Wood setters had the highest prevalence of chronic cough, wheeze, breathlessness and chest tightness, whereas the prevalence of productive cough and nasal discharge was highest among burners; association of job description and prevalence of symptoms was not significant (Table 7). The association between all variables and presence or absence of respiratory symptom was not significant (Table 8).
Table 6: Respiratory Symptoms among Charcoal workers and Duration of work.

Table 7: Respiratory symptoms among charcoal workers by Job description.

Table 8: Factors associated with presence of respiratory symptoms.

The age distribution in this study indicates that the earth kiln workers were mainly a young and middle aged population, particularly as the modal age range representing over a quarter was in the middle age. However, females outnumbered males probably because they were steadier on the job unlike males who frequently changed jobs while seeking greener pastures [22]. Workers who cooked in their rooms had far better mean FEV1 and forced expiratory ratio than those who did not. This is an unexpected finding as indoor cooking is associated with abnormalities in lung function [23-25] notwithstanding, all three workers probably cooked with fossil fuel rather than biomass. On the other hand, the period and extent of contact with wood smoke among earth kiln workers probably exceeded exposure to impinging factors like biomass and tobacco smoke such that it made the influence of those pollutants inconsequential. Thus, there were no significant differences in lung function indices between users of tobacco and biomass and non-users.
Conversely, from the result ofthis study the factor that adversely affected lung function deficit was having a history of asthma; consequently all pulmonary indices were worse in workers with a history of asthma. Further, only among workers with asthma was the forced expiratory ratio less than 70%which substantiates the obstruction to air outflow seen in asthma and can be aggravated by occupational wood smoke exposure [26]. The foregoing suggests that, in the presence of asthma, exposure to pollutants from wood- burning earth kilns further worsens lung function. Therefore, it may be suggested that workers be screened for pre-existing respiratory disorders in order to exclude those with asthma and other lung abnormalities prior to being employed in charcoal production.
All lung function indices except PEFR were much better among charcoal workers who had worked at a block industry than others. Although, the reason for this observation is not distinctly obvious from this study, it could be opined that worker who previously moulded blocks were fewer and probably had a short exposure to dust from moulding blocks. In addition, coarse particles generated from construction-related activities like block moulding are less harmful than fine particles which are capable of reaching deep into the tiniest pulmonary bronchioles and parenchyma [27]. Despite the high prevalence of respiratory symptoms observed in this study, duration of work was not strongly associated with any respiratory symptom. This may suggest that most symptoms were acute and occurred more among those with shorter length of exposure.
In contrast, a study in Kebbi, Nigeria in which more than a quarter of workers had been exposed for over ten years reported that the association between duration of exposure, chest tightness and dyspnoea was significant [28]. Another study conducted in Iran also recorded significant association between work duration and symptoms. This major difference may not be unrelated to the higher proportion of workers with shorter duration of exposure to wood smoke in this study [29]. Even though the average duration of work was almost 8 years only about one-fifth of charcoal workers in this study had been involved in charcoal production for more than 10 years whereas more than half had worked for less than 5 years. This average duration of exposure recorded in this study is absolutely lower than 19.1 years reported from a previous study conducted in Brazil and 14.2 years from the Iranian study [29-31].
A probable reason for the above being that large scale commercial charcoal production is still less well established in this part of the world and workers tend to get involved on short-term basis as a means to get by rather than as a permanent job [22]. This study did not establish a remarkable association between specific types of job performed by workers and the prevalence of respiratory symptoms; nonetheless, the prevalence of most respiratory symptoms was highest among wood setters. From the preceding finding, it is likely that charcoal workers had similar levels of exposure to wood smoke and wood setters possibly had a longer duration of exposure to wood smoke.
Unlike the previous study in Iran where significant relationships were established between harmful pollutants and respiratory symptoms [29] no association was observed for most pollutants and presence of respiratory symptoms in this study. While this contrast is remarkable a plausible explanation is not far-fetched since exposure to pollutants other than wood smoke had already been discontinued for all the earth kiln workers in this study. Prospective cohort studies to assess baseline respiration function and the impact of subsequent exposure to toxic substances discharged from burning wood in earth kilns would be needed in future to highlight lung function deficit regardless of impinging factors.
History of asthma significantly and negatively impinged on lung function deficit among these workers; contrarily biomass exposure did not make any difference in their lung function. Unexpectedly, workers with histories of block moulding as well as cooking indoors separately had better lung function though their small number could have accounted for this difference. Duration of job or job amongst other factors did not influence the prevalence or presence of respiratory symptoms. Pre-employment screening of workers for respiratory disorders to exclude those with asthma and other lung abnormalities prior to being employed in charcoal production may be a worthwhile venture to pursue in the long term.
Bio chemistry
University of Texas Medical Branch, USA
Department of Criminal Justice
Liberty University, USA
Department of Psychiatry
University of Kentucky, USA
Department of Medicine
Gally International Biomedical Research & Consulting LLC, USA
Department of Urbanisation and Agricultural
Montreal university, USA
Oral & Maxillofacial Pathology
New York University, USA
Gastroenterology and Hepatology
University of Alabama, UK
Department of Medicine
Universities of Bradford, UK
Oncology
Circulogene Theranostics, England
Radiation Chemistry
National University of Mexico, USA
Analytical Chemistry
Wentworth Institute of Technology, USAMinimally Invasive Surgery
Mercer University school of Medicine, USA
Pediatric Dentistry
University of Athens , Greece
The annual scholar awards from Lupine Publishers honor a selected number Read More...
