ISSN: 2641-1768
Mahendra Kumar Trivedi1, Alice Branton1, Dahryn Trivedi1, Sambhu Charan Mondal2 and Snehasis Jana2*
Received: November 07, 2020; Published: November 19, 2020
Corresponding author:Eric Rogers, Profess or Psychology, physics educator, Chicago, Illinois, UK
DOI: 10.32474/SJPBS.2020.04.000193
The study aim was to evaluate the neurobehavioral effect of Consciousness Energy Healing Treated test formulation using behavioral test in male Sprague Dawley rats. The test formulation was divided into two parts, one was denoted as control, while the other was treated with Biofield Energy by Mr. Mahendra Kumar Trivedi (the Trivedi Effect®-Consciousness Energy Healing) and defined as the Biofield Energy Treated sample. Besides, three group of animals were also received Biofield Energy Treatment by Mr. Trivedi. In Y-maze test, number of entries was significantly increased in the animals per se received Biofield Energy Treatment (-15 days) group (G6) by 176%, 47.53%, and 66.67% in the start arm, explored arm, and novel arm, respectively as compared to the untreated test formulation group (G4). Further, Biofield Treated animals per se + Biofield Treated test formulation (-15 days) group (G8), showed 100% and 32.74% increased the number of entries in start arm and novel arm, respectively compared to the G4 group. Moreover, percent of alternation behaviour was increased by 7.26% in the G8 as compared to the G4 group. In force swim test (FST) showed the number of climbing was significantly increased by 13.58%, 24.69%, 32.1%, and 40.74% in the G5, G6, G7, and G8, respectively compared to G4 group. Swimming time was significantly increased by 9.34% and 10.31% in the G6 and G9, respectively compared to G4 group. Further, immobility time was significantly decreased by 27.91%, 55.81%, 61.63%, and 11.63% in the G5, G6, G7, and G9, respectively compared to the G4 group. The results of Morris water maze (MWM) test data showed that the escape latency was significantly decreased by 12.06% (session 2), 13.04% (session 3), 14.88% (session 3), and 17.52% (session 3) in the G5, G7, G8, and G9 groups, respectively compared to the G4 group. The resting time was significantly (p≤0.05) decreased by 16.26% (session 3) and 15.45% (session 3) in the G7 and G9, respectively compared to G4 group. Besides, total distance travelled was significantly reduced by 27.23% and 23% (in session 2) in the G5 and G9 groups, respectively compared to the G4 group. The results showed significant reduction of disease progression and disease-related symptoms in the preventive Treatment group per se and/or Biofield Energy Treated Test formulation groups (viz. G6, G7, G8, and G9) comparatively with the disease control group. Therefore, data suggest that Biofield Energy Treatment per se and Biofield Energy Treated test formulation have significant cognition and memory enhencing activity and could be utilized in various aging and neurobehavioral related disorders such as stroke, dementia, multiple sclerosis, acute confusional states (delirium), focal lesion syndromes, frontal lobe syndromes, etc.
Keywords: Biofield energy healing; The trivedi effect®; Neurobehavioral; Force swim test; Spatial memory; Antiaging; Morris water maze; Y-maze test; Antiaging
Abbreviations: FST: Forced Swim Test; NIH/NCCAM: National Institute of Health/National Centre for Complementary and Alternative Medicine; SD: Sprague Dawley; Na-CMC: Sodium Carboxymethyl Cellulose; MWM: Morris Water Maze
The behavioral test batteries are used to assess the learning and memory. Learning is a process of gathering lots of information about the outside world, and memory is the process of processing, storing and reproducing this information in a suitable environment, where it is required. Experts reported that by 2050 up to 15 million Americans and more than 135 million people worldwide will suffer from different types of neurodegenerative disorders which affect memory function like Alzheimer’s disease [1]. Different behavioral test is used currently among them Y-maze, force swim, and Morris water maze tests. Y-maze experiment is used to find the capability of rodents in the recognition and memory ability and it provides a fruitful information that reflects the animal’s ability to recognize and remember the new environment [2]. Stress is the causation of most prevalent psychiatric challenging disorders such as depression and anxiety [3]. The rodent forced swim test (FST) is mainly used as a preclinical model for depression [4,5]. There was a direct correlation between integration of aging and cognitive behaviour. There is a numerous evidence suggesting that adults have more trouble learning new information, exhibit less efficient reasoning skills, are slower to respond on all types of cognitive tasks, and are more susceptible to disruption from interfering information than younger adults [6].
According to Hasher and Zacks [7], have reported that older adults are less effective at inhibiting irrelevant information than young adults. Based on the literature an importance of essential vitamins and minerals on stress-related disorders authors newly designed a proprietary test formulation consisting of zinc chloride, iron (II) sulfate, copper chloride, magnesium gluconate hydrate, cholecalciferol (vitamin D3), vitamin B6 (pyridoxine HCl), and vitamin B12 (cyanocobalamin), which would be able to combat with stress-related disorders. Biofield Therapy has been established to be an alternative medicine approach effectively used on various properties of living organisms in a cost-effective manner [8]. Every living system bearing kind of unique quality vital force, an élan vital, which gives them special quality so called ‘life’ [9]. This ambiguous vital force defined as the ‘Bioenergetics Field’. Many alternative therapies, medicines and practices such as Tai Chi, natural products, chiropractic/osteopathic manipulation, deep breathing, yoga, meditation, Qi Gong, special diets, massage, homeopathy, guided imagery, progressive relaxation, acupuncture, acupressure, relaxation techniques, hypnotherapy, movement therapy, healing touch, rolfing structural integration, pilates, mindfulness, traditional Chinese herbs and medicines, Ayurvedic medicine, naturopathy, aromatherapy, essential oils, cranial sacral, and Reiki therapy are extensively used as a complementary and alternative medicine (CAM) system. Although, a human has the ability to acquire the vital force energy from the universe and can transmit it into a useful way that is called Biofield Energy and the process is called as “Biofield Energy Treatment/Healing”. Biofield (putative energy fields) or electromagnetic based energy therapies used to promote health and healing that had been exclusively reported by the National Institute of Health/National Center for Complementary and Alternative Medicine (NIH/NCCAM) [10]. The Trivedi Effect® has been published in numerous peer-reviewed science journals with significant outcomes in many scientific fields such as cancer research [11,12], microbiology [13-16], biotechnology [17,18], pharmaceutical science [19-22], agricultural science [23-26], materials science [27-30], nutraceuticals [31,32], skin health, human health and wellness. Depending on the importance of herbs and various essential vitamins and minerals on cognitive disorders and aging, the outstanding effects of Biofield Energy Healing in multiple-fields authors hypothesized that the Biofield Energy Treated test formulation may able to combat with cognitive and aging-related disorders rats model. Therefore, authors performed this study to evaluate the effects of Biofield Energy Treated and untreated test formulation through the measurement of different behaviour parameters in male Sprague Dawley rats.
Cholecalciferol (vitamin D3), copper chloride, iron (II) sulfate, and sodium carboxymethyl cellulose (Na-CMC) were procured from Sigma-Aldrich, USA. Zinc chloride, vitamin B6 (pyridoxine hydrochloride), cyanocobalamin (vitamin B12), resveratrol, and magnesium (II) gluconate were purchased from TCI, Japan. D (+) Galactose obtained from Amresco, LLC. All the other chemicals used in this experiment were analytical grade procured from India.
Randomly breed male Sprague Dawley (SD) rats with body weight ranges between 240.48 to 428.27gm were used in this experiment. The animals were purchased from M/s. National Institute of Biologicals, India. Animals were randomly divided into nine groups based on their body weights consist of ten animals of each group. They were kept individually in sterilized polypropylene cages with stainless steel top grill having provision for holding pellet feed and drinking water bottle fitted with stainless steel sipper tube. The animals were maintained as per standard protocol throughout the experiment.
The test formulation was divided into two parts. One part of each ingredient was considered as control, where no Biofield Energy Treatment was provided. Another part of each ingredient was received Biofield Energy Treatment by Mr. Mahendra Kumar Trivedi (known as the Trivedi Effect®) under laboratory conditions for ~3 minutes through the Healer’s unique Energy Transmission process to the test formulation. The blessing/treatment was given to the test items/animals remotely without touching in the laboratory of Dabur Research Foundation, near New Delhi, India. Besides, three group of animals were also received Biofield Energy Treatment under laboratory conditions for ~3 minutes. Similarly, the control samples were subjected to “sham” healer under the same laboratory conditions for ~3 minutes. The “sham” healer did not have any knowledge about the Biofield Energy Treatment. After that, the Biofield Energy Treated samples were kept in the similar sealed condition and used as per the study plan. The Biofield Energy Treated animals were also be taken back to experimental room for further proceedings.
Five days after acclimatization, animals were randomized and grouped based on body weight. Dosing for group G7 and G8 was also initiated on day -15 till end of the experiment. However, G1 to G6 and G9 animals were dosed from day 1 till the end of experiment. All the animals except G1 received D-Galactose, daily (500mg/ kg; i.p.) from day 1 to the end of the experiment. Body weight and clinical signs were taken daily throughout the experimental period. Feed consumption was measured once in a week. At the end of the experimental period, i.e., during 9th week, all the animals were individually subjected to assessment of behavioral parameters such as Y-maze, Morris water maze (MWM) test and Forced swim test (FST). All behavioral parameters were recorded using suitable Software (Panlab, Smart 3.0) for all the animals and analyzed.
Y-maze test: Impairment of spatial memory was evaluated using a Y-maze test paradigm following chronic D-galactose administration. The Y-maze consisted of three equal-dimension arms with an angle of 120 °C. The arm closest to the experimenter was defined as the start arm in which rat was placed at the start of each trial. During trial 1 (5 minutes), the entrance to the novel arm was closed, limiting the animal to exploration of the start arm and the open arm. After an interval, animal was allowed to explore all three arms by having the entrance to the novel arm open. Exploratory behaviour was assessed for 5 minutes. After the last dose of D-galactose and test item to the experimental animals, the Y-maze analysis was performed on the next day to all experimental rats. Each rat was placed at the centre of the apparatus and allowed to move freely through the maze for three 8 minutes sessions. The series of arm entries was observed and the following parameters such as time spent in each arm and number of entries made into each arm were calculated. Spontaneous alternation was defined as the successive entry of the rat into the three arms in overlapping triplet sets.
Percentage alternation behaviour was calculated using
Equation (1):
= (Successive triplet sets / Total number of arm entries - 2) X
100------------- (1)
(Successive triplet set: Entries into three different arms
consecutively)
Forced swimming test (FST): The forced swim test was performed with slight modification as described [33,34]. In brief, all the animals except G1 were individually subjected to swim in a glass cylinder (40cm high, 18cm in diameter) filled with water (25 °C) up to height of 34cm for 10 minutes. In this cylinder, rats cannot touch the bottom or escape. For the first exposure, rats were placed in the water for 15 minutes of forced swimming (training session). Twenty-four hours later, rats were placed in the cylinder again for a 5-minute period (test session). In the test session rats were scored by an observer blind to the effect of test substance exposure of the animal for immobility time (floating with only small movements necessary to keep their head above water), swimming time (pedalling or making circular movements), and struggling time (climbing walls or diving attempts to escape). Water in the tank was changed after each session.
Morris water maze test: The test was performed as per with slight modification [35]. Escape platform was sub-merged 1.0cm below the surface of the pool water, which was maintained at 23±2 °C, and mixed with milk powder to obscure the platform. The location of the platform remained in the center of south west quadrant throughout the training period. Before the first session, each animal was put on the platform for 15 seconds, and then was given a 60 seconds free swim and then guided to the platform, where it remained for another 20 seconds. Latencies to escape from the water maze (finding the sub-merged escape platform), total distance travelled, and resting time of each animal were collected and the average value of each trial for a session was calculated.
The data were expressed as mean ± standard error of mean (SEM) and subjected to statistical analysis using Sigma Plot (Version 11.0) using one-way ANOVA. Student’s t-test was performed for comparison of the individual treatment group with control. The p≤0.05 was considered as statistically significant (n=10).
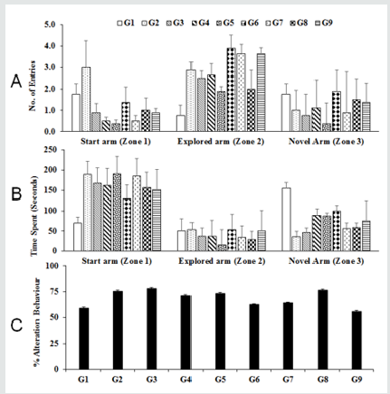
Y-maze test: The Y-maze test for cognitive function in laboratory animals is extensively used as a tool during the development of pharmaceutical formulations to the treatment of neurodegenerative diseases [36]. This behavioral test is used for the evaluation of cognitive functions like memory and learning ability of short-term work and is based on the natural instinct of rodents to explore unknown environments [37]. The effect of the test formulation on cognitive function using Y-Maze test in male Sprague Dawley rats is shown in Figure 1. Increased frequency of number of entries in the arms was considered as improve locomotor activity and increase percentage alternation was considered as an improved spatial memory function. In this technique, parameter like number of entries was significantly increased in the animals per se received Biofield Energy Treatment (-15 days) group (G6) by 176%, 47.53%, and 66.67% in the start arm, explored arm, and novel arm, respectively as compared to the untreated test formulation group (G4). Moreover, number of entries was significantly increased by 38.02% in the Biofield Energy Treated test formulation (-15 days) group (G7) on explored arm compared to the G4 group. Further, in the Biofield Energy Treated animals per se + Biofield Energy Treated test formulation (-15 days) group (G8), showed 100% and 32.74% increased the number of entries in start arm and novel arm, respectively compared to the G4 group. Further, number of entries was significantly elevated by 76%, 38.02%, and 22.12% in start arm, explored arm, and novel arm, respectively as compared to the G4 group. Other parameter like time spent was increased by 17.58% in the Biofield Energy Treated test formulation group (G5) on start arm compared to G4 Group. Moreover, G6 group an increased time spent by 43.32% and 13.1% on explored arm and novel arm, respectively compared to the G4 group. Time spent was increased by 14.64% in the G7 group on start arm only compared to G4 group. Further, time spent was increased by 37.95% in the G9 group on explored arm as compared to the G4 group. The percent of alternation behaviour was increased by 7.26% in the Biofield Energy Treated animals per se + Biofield Energy Treated test formulation (-15 days) group (G8) as compared to the G4 group (Figure 1). Besides, in case of spontaneous alternation, where rats made alternations when they sequentially visited the three arms, without repeating any one arm [38]. The results indicated more alternation task because they spent more time to elucidate which was the last arm visited. Measurement of spontaneous alternation using a Y-maze is a test also utilized for the evaluation of habituation and spatial working memory [39]. Overall, Biofield Energy Treatment improved cognition function by significantly increasing number of entries, time spent and % alternation compared to the untreated test formulation group.
Figure 1:The cognition impairment and antiaging activities of the test formulation on male Sprague Dawley rats using Y-maze test. G1: Normal control; G2: Aging control (induced by D (+) Galactose, 500mg/kg, i.p.); G3: Resveratrol (500mg/kg, i.p.); G4: Untreated test formulation; G5: Biofield Energy Treated test formulation; G6: Animals per se received Biofield Energy Treatment (-15 days); G7: Biofield Energy Treated test formulation (-15 days); G8: Biofield Energy Treated animals per se + Biofield Energy Treated test formulation (-15 days) and G9: Biofield Energy Treatment per se to animals plus untreated test formulation. All values are presented as mean ± S.E.M (n=10).

Forced swimming test (FST)
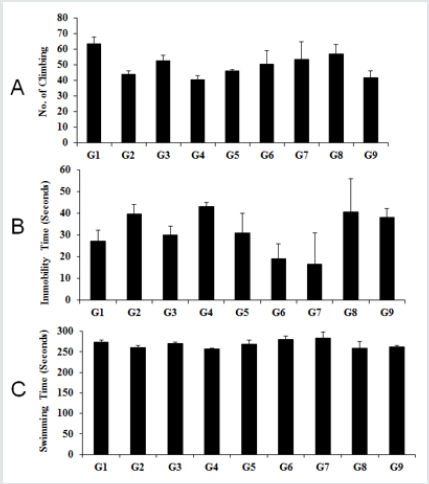
The results of FST after administration of the test formulation are shown in Figure 2. In this experiment, the number of climbing was significantly increased by 13.58%, 24.69%, 32.1%, 40.74%, and 3.70% in the G5, G6, G7, G8, and G9, respectively compared to the untreated test formulation control (G4) group. Additionally, the swimming time was significantly increased by 4.67%, 9.34%, and 10.31% in the G5, G6, and G7, respectively compared to the G4 group. Besides, the immobility time was significantly decreased by 27.91%, 55.81%, 61.63%, 5.81%, and 11.63% in the G5, G6, G7, G8, and G9, respectively compared to the G4 group (Figure 2). The FST is another behavioral test battery normally used for rodent [40]. It is also called as Porsolt swim test developed for rats. It is used for the screening of antidepressant efficacy of new chemical entity and preventing depressive-like states [33,41]. It is also considered as an important tool in both academic research and drug discovery in industrial settings, where reliability and high throughput screening of novel compounds are essential [42]. Overall, the improvement of these parameters in the Biofield Energy Treated groups might be due to The Trivedi Effect®-Consciousness Energy Healing Treatment.
Figure 2: The behavioural and antidepressant activities of the test formulation on male Sprague Dawley rats using Force Swim Test. G1: Normal control; G2: Aging control (induced by D (+) Galactose, 500mg/kg, i.p.); G3- Resveratrol (500mg/kg, i.p.); G4-Untreated test formulation; G5-Biofield Energy Treated test formulation; G6: Animals per se received Biofield Energy Treatment (-15 days); G7: Biofield Energy Treated test formulation (-15 days); G8: Biofield Energy Treated animals per se + Biofield Energy Treated test formulation (-15 days) and G9: Biofield Energy Treatment per se to animals plus untreated test formulation. All values are presented as mean ± S.E.M (n=10).

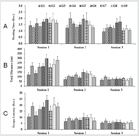
Morris water maze test: Many water mazes have been developed so far, but the ‘the water maze’ was developed by Richard Morris to assess spatial or place learning and defined as Morris water maze (MWM) [43]. For the assessment of spatial learning and memory Morris water maze test is widely used as a behavioral test [44,45]. The MWM is an important and dominant method has become more widely used than its predecessors such as radial-arm maze, passive avoidance, T-mazes and their variations, etc. [46]. The impact of the test formulation on activeness and spatial memory using Morris water maze test is shown in Figure 3. The escape latency was significantly reduced by 12.06% in session 2, in the G5 group compared to the G4 group. Moreover, escape latency was decrease by 6.33% and 13.04% in session 1 and 3, respectively in the G7 group compared to the G4 group. G8 group showed 14.88% reduction of escape latency in session 3 and G9 group showed 17.52% in session 3 compared to the G4 group. Thus, reduction of escape latency indicated that the rats learned the location of the platform during the experimental days. The parameters traveled distance and resting time were recorded additionally to avoid interpretation of confounding changes of behavior [47]. Resting time was reduced by 2.31% and 15.45% in session 2 and 3, respectively in the Biofield Energy Treatment per se to animals plus untreated test formulation (Group 9) compared to the untreated test formulation group (G4). Further, the resting time was reduced by 16.26% in the Biofield Energy Treated test formulation (-15 days) group (G7) on session 3 compared to the G4 group.
Figure 3: Representative results for the Morris Water Maze (MWM) test after treatment with the test formulation on male Sprague Dawley rats. G1: Normal control; G2: Aging control (induced by D (+) Galactose, 500mg/kg, i.p.); G3- Resveratrol (500mg/kg, i.p.); G4-Untreated test formulation; G5: Biofield Energy Treated test formulation; G6: Animals per se received Biofield Energy Treatment (-15 days); G7: Biofield Energy Treated test formulation (-15 days); G8: Biofield Energy Treated animals per se + Biofield Energy Treated test formulation (-15 days) and G9: Biofield Energy Treatment per se to animals plus untreated test formulation. All values are presented as mean ± S.E.M (n=10).

Besides, total distance was significantly reduced by 27.23% and 23% in session 2 in the Biofield Energy Treated test formulation group (G5) and G9, respectively compared to the G4 group. Moreover, in session 3, total distance travel was reduced by 13.76% in the Biofield Energy Treated animals per se + Biofield Energy Treated test formulation (-15 days) group (G8) compared to the G4 group. In this research plan, four groups were considered as preventive maintenance groups. These groups were G6 (Biofield Energy Treatment per se to animals at -15 days), G7 (Biofield Energy Treated test formulation from day -15), G8 (Biofield Energy Treatment per se to animals along with Biofield Treated test formulation from day -15), and G9 (Biofield Treatment per se at -15 days to animals with untreated test formulation). The results showed the significant slowdown of the disease progression, disease related all other symptoms/complications and also reduced the chances of disease susceptibility in these groups. Specifically, group G6 (preventive Biofield Energy Treatment group per se at -15 days) showed the best results as a prophylactic/preventive treatment group compared to the other groups. Based on the overall data, it suggests that the Biofield Energy Healing Therapy was found to be most effective and benefited in order to prevent and protect from the occurrence of any type of diseases in rat model. It indicated that this therapy can act as a preventive maintenance therapy to prevent the occurrence of the disease, slow down the disease progression and disease related complications of the existing aliments that will ultimately improve the overall health and quality of life in human.
The result of Y-maze data suggested that number of entries was
significantly elevated by 176% (in start arm), 47.53% (in explored
arm), and 66.67% (novel arm) in the animals per se received
Biofield Energy Treatment (-15 days) group (G6) compared to
the untreated test formulation group (G4). The number of entries
was also increased by 100% (in start arm) in the Biofield Treated
animals per se + Biofield Treated test formulation (-15 days) group
(G8) compared to the G4 group. Additionally, percent of alternation
behaviour was increased by 7.26% in the G8 as compared to the
G4 group. The results of force swim test showed that climbing
frequency was increased by 24.69%, 32.1%, and 40.74% in the
G6, G7, and G8, respectively compared to G4 group. Parameter like
immobility time was significantly decreased by 27.91%, 55.81%,
and 61.63% in the G5, G6, and G7, respectively compared to the G4
group. Besides, the results of the Morris water maze (MWM) data
showed that escape latency was significantly decreased by 12.06%
(session 2), 13.04% (session 3), 14.88% (session 3), and 17.52%
(session 3) in the G5, G7, G8, G9 groups, respectively compared
to the G4 group. Biofield Energy Healing Treatment (the Trivedi
Effect®) per se showed best results with respect to different efficacy
and biomarker parameters in the preventive maintenance group,
G6 as compared to the other preventive maintenance groups
(G7, G8, and G9) in rat model study. It also helped to slow down
the disease progression and disease related complications of the
overall animal’s health. These data suggested that Biofield Energy
Treatment per se and/or Biofield Energy Treated Test formulation
in combination would be the best treatment strategies in order to
prevent and protect from the occurrence of any type of diseases.
Therefore, the Biofield Energy Treatment might act as a
preventive maintenance therapy in order to maintain good health,
or full restoration of health or improve the overall health and
quality of life in human. This therapy might also reduce the severity
of any type of acute/chronic disease (auto-immune related and
inflammatory disorders) progression rate and can be used in both
before and after the manifestation of any disease symptoms in
healthy, unhealthy, and ill peoples. Therefore, it is assumed that the
Biofield Energy Treated test formulation could be more useful in
various aging and neurobehavioral-related disorders such as stroke,
occlusion, hemorrhagic, transient ischemic attack (TIA), arterialvenial
malformation (AVM), phenylketonia (PKU), encephalitis,
amnesiac syndrome, psuedopsychiatric syndromes, visual agnosia,
prosopagnosia, ideomotor apraxia, constructional apraxia, etc.
Besides, it can also be utilized in organ transplants (kidney, liver,
and heart transplants), various autoimmune disorders Fatigue
Syndrome and Vasculitis, as well as inflammatory disorders such
as such as Lupus, Addison Disease, Celiac Disease (gluten-sensitive
enteropathy), Dermatomyositis, Graves’ Disease, Hashimoto
Thyroiditis, Rheumatoid Arthritis, Multiple Sclerosis, Myasthenia
Gravis, Pernicious Anemia, Sjogren Syndrome, Scleroderma,
Aplastic Anemia, Reactive Arthritis, Fibromyalgia, Disease,
Psoriasis, Chronic Asthma, Systemic Lupus Erythematosus, Vitiligo,
Type 1 Diabetes, Alzheimer’s Disease, Alopecia Areata, Crohn’s,
Ulcerative Colitis, Irritable Bowel Syndrome, Atherosclerosis,
Dermatitis, Diverticulitis, Hepatitis, inflammatory diseases, antiinflammatory,
anti-arthritic, anti-osteoporosis, anti-apoptotic, antistress,
wound healing, anti-cancer, anti-aging, activities.
The authors are grateful to Dabur Research Foundation, Trivedi Science, Trivedi Global, Inc., and Trivedi Master Wellness for their support throughout the work.
Bio chemistry
University of Texas Medical Branch, USA
Department of Criminal Justice
Liberty University, USA
Department of Psychiatry
University of Kentucky, USA
Department of Medicine
Gally International Biomedical Research & Consulting LLC, USA
Department of Urbanisation and Agricultural
Montreal university, USA
Oral & Maxillofacial Pathology
New York University, USA
Gastroenterology and Hepatology
University of Alabama, UK
Department of Medicine
Universities of Bradford, UK
Oncology
Circulogene Theranostics, England
Radiation Chemistry
National University of Mexico, USA
Analytical Chemistry
Wentworth Institute of Technology, USAMinimally Invasive Surgery
Mercer University school of Medicine, USA
Pediatric Dentistry
University of Athens , Greece
The annual scholar awards from Lupine Publishers honor a selected number Read More...
