ISSN: 2637-4595

Ayub Nabi Khan*1, Eanamul Haque Nizam1 and Tanjibul Hasan Sajib2
Received: February 06,2018; Published: February 16,2018
*Corresponding author: Ayub Nabi Khan, BGMEA University of Fashion and Technology, Uattra, Dhaka, Bangladesh
DOI: 10.32474/LTTFD.2018.01.000118
Bangladeshi RMG industry is the main business focus for most of the world because of low wages labour, low CM cost etc. To increase the productivity rate lean is the recent topic for the industry owner. SWOT method is one of them. SWOT Analysis of Garment industry in Bangladesh simply means analyzing the Strength, Weaknesses, Opportunities, and Threats of the garment industry in Bangladesh. From this, we can know the areas where the Bangladeshi Industry is strong and where he has to improve. In this research, the author has prepared a questionnaire and made a survey of it. This questionnaire was filled by various garment industries in Bangladesh. This questionnaire made the author to compare the various aspects of the size of units, lead-time, productivity and CMT charges. Charts were prepared from the surveys and results were obtained from it. By this project, author promotes the details obtained to an entrepreneur in various other places in Bangladesh so that they can start up garment industry in near future.
Keywords: RMG; SWOT; Survey; Production; Productivity
SWOT is an acronym which contains four logical analytical words for any kinds of analysis. These are Strength, Weakness, Opportunity, and Threat. This is such a subjective assessment that can be applied to a man, industry, business, place and so on. From the view of RMG industries, it represents a framework for analyzing a company's strengths and weaknesses, and the opportunities and threats it faces in the way to success and one of the inevitable things for a labor-intensive productive industry. The objectives of the firm or industry should be determined after the SWOT analysis has been performed by V. Rameshbabu [1] who allows the organization to achieve the goals or objectives.
a) Strengths refer to the areas of high importance which provide a business or project significant advantages over others.
b) Weaknesses refer to the characteristics or the areas which provide disadvantages and require immediate actions.
c) Opportunities are the elements those should be further implemented and exploited to achieve the desired performance.
d) Threats refer to the elements in the environment that could cause trouble for the business or project.
SWOT analysis aims to identify the key internal and external factors considered as important towards achieving an objective. These factors come from within a company's unique value chain. Internal factors - the strengths and weaknesses internal to the organization [2]. External factors- the opportunities and threats presented by the environment external to the organization. The SWOT analysis provides information that is helpful in matching the firm’s resources and capabilities to the competitive environment in which it operates [3].
The readymade garment is a success story for Bangladesh. The industry started in the late 1970s, expanded heavily in the 1980s and boomed in the 1990s. The quick expansion of the industry was possible because of the following unique nature of the industry.
a) The technology is less complicated (easy to transfer)
b) Types of machinery are cheap and easy to operate (sewing machines)
c) A large female labor force that is easy to train is readily available
Besides the low cost of labor, one of the major factors behind the success of RMG is the availability of offshore financing for world-priced inputs through the back-to-back letter of credit (L/C) under the special bonded warehouse scheme. Presence of foreign buyers is also a major factor that introduces the system of international subcontracting. Foreign buying houses not only bring the international market to the doorstep of local entrepreneurs, they also ensure the availability of essential inputs such as imported fabrics and accessories for the industry. They also did the greatest favor for the RMG industry of Bangladesh by bringing the latest designs and by monitoring output quality. These measures especially enabled inexperienced garments entrepreneurs to establish a strong foothold during the 1980s [4-6].
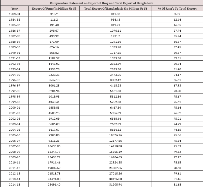
From the website, the author got this information. Although suffering from image crisis after the GSP withdrawal from USA, Bangladesh registered remarkable export growth in the just- concluding fiscal year. RMG export grew 12.71% to 21.5 billion USD and total textiles export including RMG rose to 23.7 billion USD which is 11.24% higher than the previous financial year (Table 1). Export Promotion Bureau, EPB of Bangladesh has set an ambitious export target for the financial year 2013-14 that is 30.5 billion USD, 12.85% higher than previous year's export 27.02 billion USD. Though the country could not achieve the last year target, this time also the country want to chase a big target. But the year has been started with a great uplift at its first month. Bangladesh exported textile and clothing (T&C) products worth of 2696.4 million USD in the month of July, 13 which was 2538.8 million USD previous month and 2311.2 million USD in the same month of the previous year. In fact, exports of the country's clothing products witnessed a robust growth of more than 26 percent in July 2013, amid clothing manufacturers' apprehension that their shipment orders might fall following the tragic Rana Plaza incidents and the image crisis that all were talking about of late aroused from the USA GSP issues [7,8].
Table 1: Comparative statement on export of RMG and total export of Bangladesh [7].

Material: Four Garments industry has used to conduct this survey. From every industry, top-level management has used to collect the data. Total 20 participants has used from four garments industry.
Method: After conducting the survey process the author make documentation. After collecting their view the author tries to find out the common problem from their view of results. After that, the author suggests SWOT for existing industry.
Participants: From different industry of 20 top label management was recruited; from the sample 10 (50 percent) participated in the survey and one of the focus group interviews. A total of three sessions were conducted over four weeks. (Table 2) presents descriptive statistics of the sample. About of the participants were male (20 members). According to this questionnaire, here the author presented one survey report for a clear idea as an example of this part.
Table 2: Descriptive Statistics of Sample Characteristics.

Table 3: Frequency of Ratings of Participants' SWOT Satisfaction in General.

Reliability of items measuring overall apparel fit satisfaction was assessed using Cronbach's alpha coefficient. As shown in (Table 3), the Cronbach's alpha value for the four items was .912; this indicates a high internal consistency for this factor [8,9]. Most of the participant experience was positive and negative. Most of the participant agrees about their strength, weakness, opportunity and also threats. They also agree it is important to factor improve to total productivity of the industry (Table 4). Because there were a comparable number of answers from the total number of the industry of Bangladesh, the difference in fit satisfaction responses across nationalities was examined. There were no significant differences in mean scores of overall SWOT satisfaction between Different industries. The distribution of students according to class standing was fairly equivalent.
Table 4: Results of Independent t-test for Mean Scores of Overall SWOT Satisfaction for Individual industry.

SWOT Analyzing is a very useful technique to identify a company's Strengths, Weakness, Opportunities, and Threats. SWOT analysis was done in five industries to find out the obstacles of our productivity improvement in RMG sector. One structured questionnaire was also used to conduct a survey of 200 people including Line Supervisors, operators, helpers, IE engineers etc. in different sections of RMG sectors. The threats and problems that hamper productivity are as follows [10, 11]:
a) Lack of proper training facilities.
b) Lack of regular workers in RMG sector.
c) Lack of dignity in society.
d) Lack of skilled workers.
e) Excessive pressure in some cases.
f) Lack of motivation.
g) Lack of active baby day-care facilities.
h) Lower salary standard and less satisfaction of the workers.
i) Interrupted utility supply.
j) Improper facility layout.
k) No or improper IE section.
l) Lack of human-friendly working condition like ventilation, lighting, proper washroom facilities, odor-free environment etc.
Table 5
Table 5: SWOT analysis for productivity improvement in RMG industries.

Before efficiency of the factory (Before Implementation) (January 2017)
Table 6
Table 6: Before implementation of SWOT Suggestion Efficiency %

After efficiency of the factory (Before Implementation) (February 2017)
Table 7
Table 7: After implementation of SWOT Suggestion Efficiency %.

No hurdles could resist Bangladesh achieving a modest growth in the first six months of the financial year 2013-2014. The country has registered 19.55 % growth in knitwear export and 20.37% growth in woven wear export despite so many political troubles. Amid great internal tension & month-long blockade, the sector could keep their momentum going [12]. Countries export growth in July to December hence now comes with a great inspiration for the rest of the year to achieve even more. But such a well-built sector could not really grow as the sector anticipated due to many reasons- most of which are not abnormal for developing countries. Huge infrastructure deficiency, political instabilities, high bank interest, frequent labor insurgency, unexpected accidents; [13,14] Bangladeshi RMG & textile sector is coping up everything very well. Now the country is to face another big threat from the two big subcontinent countries due to the extra leverages they are gaining. Bangladesh should penetrate into new markets, diversify into new items, and relocate into new territories. If these measures are not taken in time, as Spinanger concludes, "The rapid growth rates that Bangladesh exhibited in world trade will be a thing of the past"[15].
Bio chemistry
University of Texas Medical Branch, USA
Department of Criminal Justice
Liberty University, USA
Department of Psychiatry
University of Kentucky, USA
Department of Medicine
Gally International Biomedical Research & Consulting LLC, USA
Department of Urbanisation and Agricultural
Montreal university, USA
Oral & Maxillofacial Pathology
New York University, USA
Gastroenterology and Hepatology
University of Alabama, UK
Department of Medicine
Universities of Bradford, UK
Oncology
Circulogene Theranostics, England
Radiation Chemistry
National University of Mexico, USA
Analytical Chemistry
Wentworth Institute of Technology, USAMinimally Invasive Surgery
Mercer University school of Medicine, USA
Pediatric Dentistry
University of Athens , Greece
The annual scholar awards from Lupine Publishers honor a selected number Read More...
