ISSN: 2638-5910
        
Khalid S Aljabri1*, Samia A Bokhari1, Muneera A Alshareef1, Patan M Khan1 and Bandari K. Aljabri2
Received: June 13, 2018; Published: June 21, 2018
Corresponding author: Khalid SJ Aljabri, Department of Endocrinology, King Fahad Armed Forces Hospital, Jeddah, Kingdom of Saudi Arabia, PO Box 9862, Jeddah 21159, Kingdom of Saudi Arabia
DOI: 10.32474/ADO.2018.01.000110
Background and Objective: Obesity is a major risk factor for non communicable diseases.
Obesity, diabetes and hypertension are so tightly linked. This study aims to determine the frequency of type 2 diabetes and hypertension among obese Saudi population.
Main results: A total of 2452 participants were studied. The mean age of the study population was 45.7±14.6 years, 46.9±15.3 years for males and 45.1±14.2 years for females. Moreover, the prevalence of males was 805(32.8%) and the prevalence of females was 1647(67.2%) with males to females ratio was 1.00: 2.01. Mean BMI was 34.9±4.4. Type 2 diabetes and hypertension had been diagnosed in 930(37.9%) and 538(21.9%) respectively. In the study population, 1502(61.3%) were obese Grade I, 671 (27.4%) were obese Grade II while 279 (11.4%) were morbidly obese (obese Grade III). Moreover, increased body mass index were strongly linked to females, 61.8%, 72.7% and 82.8% respectively and this was found to be statistically significant (p<0.0001). Moreover, increased with body mass index categories were strongly linked to females and this was found to be statistically significant (p<0.0001). There were no significant differences between different with body mass index grades and mean age, frequency of type 2 diabetes and hypertension. The peaks for all mean and body mass index categories were at age 30–34 years and 50-54 years with higher mean and body mass index categories for females. There were nonsignificant associations between obesity and hypertension or diabetes. In regard to the relationship between body mass index categories and type 2 diabetes and hypertension in different age ranges, it was observed that type 2 diabetes, hypertension and type 2 diabetes associated with hypertension are increasing among 45-49 years and 50-54 years age ranges, with female predominance in those age groups.
Conclusion: This study found the frequency of type 2 diabetes and hypertension was not associated differently between different obesity subclasses. Indeed, weight gain associated with aging seems to further constitutes a threat to public health status in developing societies. Clearly, despite the small sample size, this study has posed important public health issues that require immediate attention from the health authority.
Keywords: Type 2 Diabetes, Hypertension and obesity
Obesity is a major risk factor for illness and death [1]. It is defined by a 30 or higher body mass index (BMI) irrespective of whether objectively measured or based on self-report [2]. A BMI of 35 or more with serious comorbidity, or a BMI of 40 or more, is considered morbid obesity. Other definitions of morbid obesity include more than 45.2 kg over the ideal body weight as defined by the 1983 Metropolitan Life Insurance Height and Weight tables or a body weight exceeding 200% of the ideal body weight. There was a 12-fold excess mortality compared with the general population in the 25- to 34-year-old group and 6-fold excess mortality in the 35- to 44-year-old group. The hallmark study in 1980 clearly demonstrated during the course of the study, 25% of the group died [3]. At least 2.8 million adults die each year as a result of being overweight or obese. In addition, 44% of the diabetes burden, 23% of the ischaemic heart disease burden, and between 7% and 41% of certain cancer burdens are attributable to overweight and obesity [4]. Socially, obesity is now perceived as a health problem and a risk factor for many diseases [5]. The Global Burden of Disease 2010 study found that elevated BMI was the leading risk factor for disability-adjusted life years in Saudi Arabia [6].
In 2008, the WHO estimated that at least 500 million adults are obese, over 200 million men and nearly 300 million women were obese [7]. About 11% of adults aged 20 were obese [5]. The prevalence of obesity was highest in the Americas (26%) and lowest in South East Asia (3%) [8]. obesity is increasing in Saudi Arabia, especially in females. The research studies find prevalence of obesity range from 3.8% to 63.6% [9-24]. The current trends and future projections of adult obesity prevalence showed that the overall obesity will increase to 41% in men and 78% in women by 2022 in Saudi Arabia [20].
Severely obese individuals who are 45–90 kg or more or BMI ≥40.0 kg/m2 have on average far more complex health issues and encounter very different challenges in the health care system than the majority of moderately obese individuals (BMI 35.0–39.9). Over the last 3 decades, mean BMI has increased by 0.4 kg/m2 per decade worldwide [25]. According to recent studies, the United States has the highest mean BMI among high income countries, resulting in 1 in 3 adults having a BMI over 30 based on objective measurement or 1 in 4 adults based on self-reported height and weight [25- 27]. The prevalence of moderate obesity may be stabilizing or at least increases are occurring at much smaller rates than prior to 2005 in the US [26-28]. This plateauing may or may not apply to more severe/ morbid obesity. Clinically severe or morbid obesity is not a rare pathological condition afflicting a fixed proportion of the population, nor is it directly coupled to the prevalence of moderate obesity. Instead, severe obesity is part of a population BMI distribution that has become more heterogeneous (a larger proportion of individuals far away from the average) while shifting to the right simultaneously (an increase in mean BMI) [26,29].
Obesity and diabetes are so tightly linked that the American Diabetes Association recommends physicians test for type 2 Diabetes and assess risk of future diabetes in asymptomatic people ≥45 years old simply if they are obese, and regardless of age if they are severely obese [30]. Obesity raises risk of developing type 2 Diabetes by a factor of seven, compared to normal weight [31]. While not every obese individual has diabetes, 80% of those with diabetes are overweight/obese [32]. In Saudis studies, it was shown that the prevalence of obesity was significantly higher in diabetic and hypertensive Saudis compared to the non-diabetic and non-hypertensive controls [33-35]. This study aims to determine the frequency of T2DM and HTN among obese Saudi population.
For the present study, we analyzed participants who are older than 18 years old. A total of 2452 cases with BMI ≥30.0 kg/m2 were selected to be enrolled for the present study. All patients were from the population of the Primary health and Diabetic Centers at King Fahad Armed Forces Hospital. Participants were defined as having T2DM according to self-report, clinical reports, use of anti diabetic agents and HbA1c (≥6.5) [30]. All data were collected by personal interview and on the basis of a review of electronic medical data. Weight (kg) and height (cm) were measured by physician and nurse interviewers and recorded. Obesity was defined as BMI ≥ 30.0 kg/ m2 [36]. BMI values of ≥30.0 kg/m2 were sub classified into groups as obese Grade I (BMI=30 – 34.9 kg/m2), obese Grade II (BMI=35.0– 39.9kg/m2) and morbidly obese Grade III (BMI≥40 kg/m2). The total number of subjects were separated on basis of age values into 10 groups; <25 years, 25–29 years, 30–34 years, 35–39 years, 40– 44 years, 45–49 years, 50–54 years, 55–59 years , 60–64 years and ≥65 years. Blood Pressure readings were within a gap of 15 minutes using a mercury sphygmomanometer by palpation and auscultation method in right arm in sitting position. Two readings were taken 15 min apart and the average of both the readings was taken for analysis. Hypertension (HTN) was also diagnosed based on anti HTN medications or having a prescription of antihypertensive drugs and were classified as Hypertensive irrespective of their current blood pressure reading or if the blood pressure was greater than 140/90 mmHg i,e systolic BP more than 140 and diastolic BP more than 90 mm of Hg – Report of the American College of Cardiology/American Heart Association Task Force on Clinical Practice Guidelines [37].
Univariate analysis of demographic and clinical laboratory was accomplished using one-way analysis of variance (ANOVA) with post hoc analysis between variables, to estimate the significance of different between groups where appropriate. Unpaired t-test was used to analyze univariate analysis when appropriate. Chi square (X2) test were used for categorical data comparison. The adjusted odds ratio (OR) with a 95% confidence interval (CI) was calculated. All statistical analyses were performed using SPSS Version 22.0. The difference between groups was considered significant when P<0.05.
A total of 2452 participants were studied. The mean age of the study population was 45.7±14.6 years with 46.9±15.3 years for males and 45.1±14.2 years for females. Moreover, the prevalence of males was 805(32.8%) and the prevalence of females was 1647(67.2%) with males to females ratio was 1.00: 2.01, Table 1. Mean BMI was 34.9±4.4kg/m2. T2DM and HTN had been diagnosed in 930(37.9%) and 538(21.9%) respectively. In the study population, 1502(61.3%) were obese Grade I, 671 (27.4%) were obese Grade II while 279 (11.4%) were morbidly obese (obese Grade III). Moreover, increased BMI were strongly linked to females; 61.8%, 72.7% and 82.8% respectively and were found to be statistically significant (p<0.0001), as indicated in Table 1. Moreover, increased BMI categories were strongly linked to females and this was found to be statistically significant (p<0.0001), as indicated in Table 1. There were no significant difference between different BMI grades and mean age, frequency of T2DM and HTN.
Data are means ± SD or number (%)
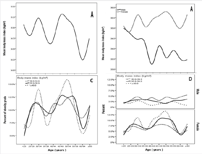
Figure 1: A-D, Description mean and body mass index category by different age ranges and according to gender.

Figure 1 summarizes the relationship between obesity and different age groups. The peaks for all mean and BMI categories were at age 30–34 years and 50-54 years, as indicated in Figure 1, A and C with higher mean and BMI categories for females, Figure 1, B and D. There was no significant association between obesity and hypertension or diabetes. In regard to the relationship between BMI categories and T2DM or HTN in different age ranges, it was observed that T2DM, HTN and T2DM associated with HTN are increasing among 45-49 years and 50-54 years age ranges, with female predominance in those age groups, Figure 2, A-F.
Figure 2: A-F, Description type 2 diabetes, hypertension and diabetes associated with hypertension by different age ranges.

The Global Burden of Disease 2010 study found that elevated BMI was the leading risk factor for disability-adjusted life years in the Kingdom of Saudi Arabia [38]. Previous studies in Saudi Arabia indicate an increasing trend in the prevalence of obesity. Data from the late 1980s through mid-1990s show a prevalence of obesity averaging about 20% ranging from as low as 13.1% among men to as high as 26.6% among women. However, all prevalence estimates from 1995 and beyond are above 35% [10,13,24,33].
Our study showed the peaks for all mean and BMI categories were at age 30–34 years and 50-54 years, as indicated in Figure 1, A and C with significant higher mean BMI ( 34.0±3.7 vs. 35.4±4.6, p<0.0001 ) and BMI categories for females in concordance with other reports [38-41]. The Asia Pacific Cohort Studies Collaboration reports obesity prevalence rates ranging from less than1% to higher than 20% for countries in the Asia-Pacific region [42]. According to National Health and Nutrition Examination Survey of the United States, the prevalence of obesity in individuals aged 20–74 years was 34% in females and 31.7% in males [43]. The corresponding figures in Australia were 19% and 17%, respectively [44]. In the United Kingdom, the prevalence of obesity was estimated to be 24.2% in females and 23.7% in males [45]. The results from most of our neighbouring countries, including Oman, 23.8% in females and 16.7% in males [46]. Lebanon, 18.8%in females and 14.3% in males [47]. Turkey as well, the prevalence of obesity is higher in females 24.6% vs. 14.4% in males and Iran, the prevalence of obesity to be 22.3% among Iranian adults (30.6% in females and 14.2% in males [48,49]. In Saudi Arabia, the National Epidemiological Household survey among Saudi subjects over the age of 15 years in different regions of Saudi Arabia showed the prevalence of overweight among male subjects was significantly higher than for female subjects (29% vs. 27%), and the prevalence of obesity among female subjects was significantly higher than for male subjects (24% vs. 16%) [23].
In Saudi Arabia A community-based national epidemiological health survey, conducted by examining Saudi subjects in the age group of 30-70 years of selected households over a 5-year period between 1995 and 2000 showed that the rate of obesity among adults remained steady at 22.1% (males 17.8% and females 26.6%) in 1990 and 1993 and increased thereafter to 35.6% (females 44% and males 26.4) in 1995 and 2000. This trend can also be seen in overweight Saudis as the percentage of overweight adults in the Saudi Arabia increased from 31.2% (33.1% males and 29.4% for females) to 36.9% (42.4% of males and 31.8% of females) in the same time period [13]. The multiple logistic regression analysis showed that age and gender are statistically significant predictors of obesity. The observed prevalence and pattern of overweight and obesity with age and gender is similar to those observed in the Arab community and some Western nations.
In a cross-sectional study in the Gassim region of Saudi Arabia, 6,044 subjects (2,727 males and 3,317 females) had their BMI computed in the following age groups, namely, 0-5, 6-12, 13-49, 50-69 and 70+ years. In general, the trend for BMI was to increase with age in both genders, but the curve pattern showed some plateauing from about the age of 50, with a slight decline in later life. Females had significantly higher indices than males [50]. Recent study showed the prevalence of obesity was 40.3% where 62.0% of the total female population was obese compared to 49.7% of the total male population. The magnitude of the difference in prevalence of obesity in the males and females was significantly high (p<0.0001) [51]. With the increase in life expectancy, obesity is causing more years of disability [52]. Hence, the increased cost of obesity and its sequelae will put a strain on the resources of governments and individuals [53].
There is apparently gradual weight gain with age, which tends to decrease gradually after the age of 55 years. The decline in mean BMI in the oldest age group was consistent with other studies [54- 57]. The increase in obesity levels with age is of concern, as it has been shown that obese elderly are more likely to present with major chronic health conditions and poor general health [58].
The association we found between obesity and chronic non communicable diseases among Saudis is informative on the impact of obesity on chronic diseases in Saudi Arabia. Different studies have documented that more than 80% of T2DM are obese, and adult males are more likely to be obese than females [59-60]. In Arab societies, it has been found that the high prevalence of Noninsulin dependent diabetes mellitus (NIDDM) is associated with high prevalence of obesity [61]. In Bahrainis, the high rate of diabetes is associated with obesity, but not with overweight [62]. We report high frequency of T2DM, 32.8% of the male, and 67.2% of the female, p<0.0001. In a study from KSA to assess the effect of obesity on diabetes and hypertension, the prevalence of obesity among T2DM and HTN patients was 46% and 54% respectively which are lower than our report [63].
Frequency of T2DM, HTN or both was not associated with different categories of obesity in our study in disconcordance to others [64-65]. With the inclining rates of obesity over the last 8 years in Saudi Arabia, we would expect an effect on these conditions in our community. The global obesity epidemic has been strongly linked with these diseases [66]. In 2010, hypertension was the second leading risk for death worldwide, and diabetes caused more than 1,200,000 deaths, compared with fewer than 600,000 in 1990. 66 Hypertension and diabetes are contributing extensively to these unhealthy years lived with disability, increasing health expenditures and reducing quality of life. Although we focused in our study on obesity as an extreme measure of excess weight, overweight should also be a target for prevention. Intervening with overweight Saudis before reaching the obesity level would be easier and more beneficial, especially if they have not yet developed adverse health events.
Our study has some limitations. First, our data are retrospective, so we cannot assess causality in associations. Conversely, our study is based on a large sample size and used standardized methods for all its measures. The results of this study have three important implications for national obesity management programs. First, it appears that obesity prevalence rates will almost certainly continue to rise in the Saudi population over the next decade. The rapid aging of the currently very young Saudi population into highrisk older age-groups will maintain the spread between incidence and morbidity into the foreseeable future. Even if incidence rates were flat or declining due to a breakthrough in obesity prevention, prevalence rates would continue to rise. As a result, the health burden due to all types of obesity complications will likely continue. This means that the health care and social service systems should start preparing now to provide the prevention and support services and systems, a large number of adults with obesity are going to require maintaining quality of life.
These include healthy life programs which are currently implemented in our institution, dietary counselling services, and enhanced infrastructure at the community level to facilitate independent living by adults with limited mobility and eyesight. Second, “upstream” population-based primary prevention programs need to be aggressively implemented to ensure that obesity incidence begins to decrease in the future. The dramatically higher rates of obesity in the Saudi population highlight the urgency of this activity. Because obesity appears to be closely related to the adoption by people of many aspects of the modern lifestyle including diet and low levels of physical activity, prevention programs that draw upon Aboriginal traditions and ways of life and that focus on the lifestyle habits of Aboriginal youth need to be implemented. A number of very promising primary prevention programs that draw upon Aboriginal traditions and ways of life have been implemented in our institution. Third, the reason for the higher prevalence of obesity in Saudi women observed in this study also needs to be better understood.
This study found the frequency of T2DM and HTN were not associated differently between different obesity subclasses. Indeed, weight gain associated with aging seems to further constitutes a threat to public health status in developing societies. Clearly, despite the small sample size, this study has posed important public health issues that require immediate attention from the health authority.
We are grateful to the staffs from the diabetic centre at King Fahad Armed Forces Hospital for their valuable contributions in data collection. The authors have no conflict of interest to disclose.
a) Stimulating the glucose uptake in L6 myotubes [13,14]
b) Inhibiting adipocyte differentiation [14]
c) Improving glucose homeostasis and symptoms in animal model of gestational diabetes [15]
d) Promoting formation of brown adipocytes and exerting thermogenic effects [16]
With this editorial, we would like to propose a start point for discussion and an input for further investigations about the role of RSV-based nutraceuticals, which have been shown to be not a mere palliative but a novel and promising natural approach for the management of diabesity. We hope this Journal will encourage the scientific discussion regarding the role of nutraceutical sciences in metabolic diseases focusing on the evidences, safety and absence of side-effects, enlarging the knowledge of physician on this issue.
 
				Bio chemistry
University of Texas Medical Branch, USA
				Department of Criminal Justice
Liberty University, USA
				Department of Psychiatry
University of Kentucky, USA
				Department of Medicine
Gally International Biomedical Research & Consulting LLC, USA
				Department of Urbanisation and Agricultural
Montreal university, USA
				Oral & Maxillofacial Pathology
New York University, USA
				Gastroenterology and Hepatology
University of Alabama, UK
				Department of Medicine
Universities of Bradford, UK
				
				Oncology
Circulogene Theranostics, England
				Radiation Chemistry
National University of Mexico, USA
				Analytical Chemistry
Wentworth Institute of Technology, USAMinimally Invasive Surgery
Mercer University school of Medicine, USA
				Pediatric Dentistry
University of Athens , Greece
   
	   
	 The annual scholar awards from Lupine Publishers honor a selected number Read More...
                                    
                                