ISSN: 2637-4609

Josep J Centelles*
Received: March 09, 2018; Published: March 15, 2018
*Corresponding author: Josep J Centelles, Department of Biochemistry and Molecular Biomedicine, Barcelona University, Spain
DOI: 10.32474/AOICS.2018.02.000132
The first reaction of biochemical degradation pathway from L-phenylalanine to L-tyrosine (para-hydroxy-L-phenylalanine) is compared with organic chemical synthesis of ortho-hydroxy-L- phenylalanine, meta-hydroxy-L-phenylalanine and para-hydroxy- L-phenylalanine. Enzymatic reaction is specific for the para- isomer, is a quicker reaction and shows higher yield than non enzymatic reactions.
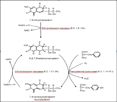
L-Tyrosine (Tyr or Y), or 4-hydroxy L-phenylalanine (para- hydroxy-L-phenylalanine) is one of the 20 standard amino acids used in protein synthesis. In humans, L-phenylalanine is an indispensable dietary amino acid. Nevertheless, L-tyrosine is not considered an indispensable dietary amino acid for humans, as it can be synthesized from L-phenylalanine in the first reaction of L-phenylalanine degradation. This reaction is enzymatically catalyzed by phenylalanine-4-hydroxylase (E.C. 1.14.16.1.), and this enzyme is located in the cytosol and expressed predominantly in the liver and kidney [1]. Mammalian phenylalanine-4-hydroxylase uses (6R)-tetrahydrobiopterin as a cofactor [2] in a reaction mechanism shown in Figure 1.
Figure 1: First reaction of degradation of L-phenylalanine to L-tyrosine.
L-phenylalanine hydroxylase (E.C. 1.14.16.1.) catalyzes the degradation of L-phenilalanine to L-tyrosine. This enzyme requires oxygen and 5,6,7,8-tetrahydrobiopterin for reaction.

In mammals, L-tyrosine is precursor of neurotransmitters and hormones. In dopaminergic cells in brain this amino acid is converted to L-DOPA (3,4-dihydroxy L-phenylalanine) and dopamine (3,4-dihydroxy phenethylamine) and furthermore to cathecolamines, such as noradrenaline (norepinephrine) and adrenaline (epinephrine). Thyroid hormones derived from L-tyrosine are triiodothyronine (T3) and thyroxine (T4). L-tyrosine is also precursor of alkaloids in plants (including morphine and mescaline), natural phenols derived from p-coumaric acid, pigments (including melanin) and the benzoquinone structure of coenzyme Q.
Thus, due to the interest of L-tyrosine as precursor of the previous described compounds, industrial synthesis of L-tyrosine and its derivatives has been performed. L-DOPA, melanin, phenylpropanoids and others compounds are used in pharmaceuticals, dietary supplements and food additives. Biochemical pathways consist in metabolic transformations to obtain a final product. Enzymes are chiral molecules, as they are formed from L-amino acids. Thus, they can catalyze organic reactions allowing generation of chiral compounds.
Although the amino acid L-tyrosine is the para isomer, the ortho-L-tyrosine (2-hydroxy-L-phenylalanine) and meta-L-tyrosine (3-hydroxy-L-phenylalanine) have been used for treatment of several abiotic diseases (such as Parkinson [3] and Alzheimer [4] ), arthritis [5] or several pancreatic disorders [6]. Due to this interest, several studies have been performed to organic synthesis of these compounds [6,7]. As it has been described above, L-phenylalanine is converted to para-hydroxy-L-phenylalanine (L-tyrosine) by the action of the L-phenylalanine hydrolase enzyme. No other tyrosine isomer is formed in this enzymatic reaction. Nevertheless, in the presence of a hydroxyl free radical (oOH), phenylalanine can be hydroxylated in para, meta and ortho positions (Figure 2). Thus, it is observed that chemical synthesis yields several compounds whereas enzymatic reaction is more effective and yields only one specific isomer. Molnar et al. [7] studied the presence of ortho-L- tyrosine and para-L-tyrosine in serum and in urinary excretion of some healthy people and patients.
Figure 2: Position isomers from hydroxy-L-phenylalanine.
Although L-tyrosine (para-hydroxy-L-phenilalanine) is the only position isomer obtained enzymatically, a mixture of ortho- hydroxy-L-phenylalanine, meta- hydroxy-L-phenylalanine and para- hydroxy-L-phenylalanine is chemically obtained.

They observed in serum, for the control group a concentration of 56|imol/L for para-L-tyrosine and 22nmol/L for ortho-L- tyrosine. Ishimitsu et al. [8] obtained also similar results in serum for healthy people (52|imol/L for para-L-tyrosine and 17nmol/L for ortho-L-tyrosine). These results indicate that enzymatic reaction is more than 3000 times more effective that non enzymatic reaction. To study the organic synthesis of L-tyrosine and to compare with the enzymatic synthesis, the paper from Humphrey et al. [6] was consulted. These authors analyzed several methods to obtain meta-L-tyrosine and developed a new enzymatic method, which complements to asymmetric hydrogenation. Although those authors did not prepare meta-L-tyrosine from L-phenylalanine, the overall yield for their optimized two-step synthesis was comparable with the usually used six-step synthesis at 68%. Thus, it can be observed that, although an enzyme step is also used for this synthesis, a good method of organic synthesis yields less product than the enzymatic reaction, that yields 100% product.
a) Enzymatic reactions are specific and yield only one product, whereas non enzymatic chemical synthesis reactions yield several stereoisomers.
b) Enzymatic reactions yield products in a quicker way than non enzymatic chemical synthesis reactions.
c) Enzymatic reactions yield more product than chemical synthesis reactions.
Bio chemistry
University of Texas Medical Branch, USA
Department of Criminal Justice
Liberty University, USA
Department of Psychiatry
University of Kentucky, USA
Department of Medicine
Gally International Biomedical Research & Consulting LLC, USA
Department of Urbanisation and Agricultural
Montreal university, USA
Oral & Maxillofacial Pathology
New York University, USA
Gastroenterology and Hepatology
University of Alabama, UK
Department of Medicine
Universities of Bradford, UK
Oncology
Circulogene Theranostics, England
Radiation Chemistry
National University of Mexico, USA
Analytical Chemistry
Wentworth Institute of Technology, USAMinimally Invasive Surgery
Mercer University school of Medicine, USA
Pediatric Dentistry
University of Athens , Greece
The annual scholar awards from Lupine Publishers honor a selected number Read More...
